JEE Advanced | 2015Differential EquationHard
Question
Let y(x) be a solution of the differential equation (1 + ex)y′ + yex = 1. If y(0) = 2, then which of
the following statements is(are) true ?
the following statements is(are) true ?
Options
A.y(–4) = 0
B.y(−2) = 0
C.y(x) has a critical point in the interval (−1,0)
D.y(x) has no critical point in the interval (−1, 0)
Solution
y′ + exy′ + yex = 1
⇒ dy + d(exy) = dx
⇒ y + exy = x + c
∵ y(0) = 2 ⇒ c = 4
⇒ y =
∴ y(-4) = 0
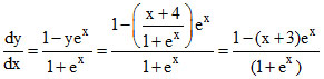
for critical point

given
∵
= 0 ⇒ ex(x + 3) - 1 = 0
⇒ x + 3 = e-x
y(x) has a critical point in the interval (-1, 0)
⇒ dy + d(exy) = dx
⇒ y + exy = x + c
∵ y(0) = 2 ⇒ c = 4
⇒ y =
∴ y(-4) = 0
for critical point

given
∵
⇒ x + 3 = e-x
y(x) has a critical point in the interval (-1, 0)
Create a free account to view solution
View Solution FreeMore Differential Equation Questions
The general solution of the equation is-...A curve C passes through origin and has the property that at each point (x, y) on it the normal line at that point passe...The differential equation representing the family of curves y2 = 2c (x + √c), where c > 0, is a parameter, is of o...If sinx is an integrating factor of the differential equation dy/dx + Py = Q, then P can be -...The function f(x) satisfying the equation, f2(x) + 4f′(x) . f(x) + [f′(x)]2 = 0 is -...