EllipseHard
Question
An ellipse is drawn by taking a diameter of thecircle (x - 1)2 + y2 = 1 as its semi-minor axisand a diameter of the circle x2 + (y - 2)2 = 4as its semi-major axis. If the centre of the ellipseis at the origin and its axes are the coordinateaxes, then the equation of the ellipse is :
Options
A.x2 + 4y2 = 16
B.4x2 + y2 = 4
C.x2 + 4y2 = 8
D.4x2 + y2 = 8
Solution
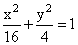
Let the equation of ellipse be

from the given conditions
a = 4 and b = 2∴ Eq of ellipse is

or x2 + 4y2 = 16

from the given conditions
a = 4 and b = 2∴ Eq of ellipse is

or x2 + 4y2 = 16
Create a free account to view solution
View Solution FreeMore Ellipse Questions
The tangent to = 1meets the major and minor axes in P and Q respectively, then =...P is a point on the ellipse . The in-radius of ᐃPSS′ (S and S′ are focii), where its area is maximum....The angle between the pair of tangents drawn to the ellipse 3x2+ 2y2 = 5 from the point (1, 2) is-...PQ is a double ordinate of the ellipse x2 + 9y2 = 9, the normal at P meets the diameter through Q at R, then the locus o...The latus rectum of an ellipse is 10 and the minor axis is equal to the distance between the foci. The equation of the e...