Definite IntegrationHard
Question
Area of the curve y2 = (7 - x) (5 + x) above x-axis and between the ordinates x = - 5 and x = 1 is
Options
A.9π
B.18π
C.15π
D.none
Solution

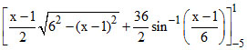
y2 = (7 - x) (5 + x) at y = 0, x = 7, - 5
(x - 1)2 + y2 = (6)2 centre (1,0)
From the figure it is clear that area is
=
=
= [(0 + 0) - (0 + 18sin-1(-1))] = 9π
Create a free account to view solution
View Solution Free