Definite IntegrationHard

Question

The area bounded by the curve y = 2x4 - x2, x-axis and the two ordinates corresponding to the minima of the function is

Options

A.3/120
B.5/120
C.1/20
D.7/120

Solution

= 8x3 - 2x. = 0     ⇒  (4x2 - 1) x = 0
⇒  x = - , 0,
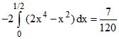
Required area =

Create a free account to view solution

View Solution Free
Topic: Definite Integration·Practice all Definite Integration questions

More Definite Integration Questions