Definite IntegrationHard
Question
The area bounded by the curve x = acos3t, y = a sin3 t is
Options
A.
B.
C.
D.3πa2
Solution
x = acos3t, y = asin3t ⇒ x2/3 + y2/3 = a2/3
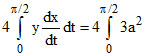
A =
sin3 tcos2t(-sin t)dt
=
= 
=
sq. units
A =
=
=
Create a free account to view solution
View Solution Free