Definite IntegrationHard
Question
Given f is an odd function defined everywhere, periodic with period 2 and integrable on every interval. Let
g(x) =
f(t) dt. Then :
g(x) =
Options
A.g(2n) = 0 for every integer n
B.g(x) is an even function
C.g(x) and f(x) have the same period
D.none of these
Solution
f( - x) = - f(x) ... (1)
f(x + 2) = f(x) ... (2)
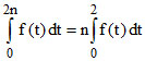
g(2n) =
⇒ g(2n) = n g(2) ... (3)
Now g(- x) =
put t = - z ⇒ dt = - dz
=
(from (1))
=
∴ g(- x) = g(x)
Again g(x + 2) =
∴ g(x + 2) =
(∵ f → period)
⇒ g(x + 2) = g(x) + g(2) .... (4)
Putting x = 0, 2, ......
g(2) = g(0 + g(2) ⇒ g(0) = 0
g(4) = g(2) + g(2) ⇒ g(4) = 2g(2)
putting x → ⎕ - x we get
g(2 - x) = g(- x) + g(2) = g(x) + g(2)
g(0) = 2g(2) ⇒ g(2) = 0
∴ g(0) = g( ± 2) = g(± 4) = ..... = 0
from (3) g(2n) = 0
& from (4) g(x + 2) = g(x) ⇒ prd. of g(x) is 2
f(x + 2) = f(x) ... (2)
g(2n) =
⇒ g(2n) = n g(2) ... (3)
Now g(- x) =
put t = - z ⇒ dt = - dz
=
=
Again g(x + 2) =
∴ g(x + 2) =
⇒ g(x + 2) = g(x) + g(2) .... (4)
Putting x = 0, 2, ......
g(2) = g(0 + g(2) ⇒ g(0) = 0
g(4) = g(2) + g(2) ⇒ g(4) = 2g(2)
putting x → ⎕ - x we get
g(2 - x) = g(- x) + g(2) = g(x) + g(2)
g(0) = 2g(2) ⇒ g(2) = 0
∴ g(0) = g( ± 2) = g(± 4) = ..... = 0
from (3) g(2n) = 0
& from (4) g(x + 2) = g(x) ⇒ prd. of g(x) is 2
Create a free account to view solution
View Solution Free