Home
>
Math
>
Definite Integration
Definite Integration
Hard
Question
The area bounded by the curve y = 1/x
2
and its asymptote from x = 1 to x = 3 is
Options
A.
1/3
B.
2/3
C.
1/2
D.
1/6
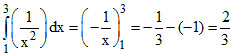
Solution
Area =
Create a free account to view solution
View Solution Free
Topic:
Definite Integration
·
Practice all Definite Integration questions
More Definite Integration Questions
is equal to-...
The value of the integral , where 0 < a < , is equal to:...
The derivative of F(x) = (x > 0) is-...
dx =...
The area of the region bounded in first quadrant by y = x1/3; y = - x2 + 2x + 3; y = 2x - 1 and the axis of ordinates is...