Definite IntegrationHard
Question
The area bounded by the curve y2 = 4x and the line 2x - 3y + 4 = 0 is
Options
A.1/3
B.2/3
C.4/3
D.5/3
Solution
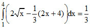
Solving x = 1, 4
From graph it is clear that required
area =
From graph it is clear that required
area =
Create a free account to view solution
View Solution Free