Home
>
Math
>
Definite Integration
Definite Integration
Hard
Question
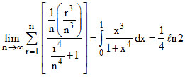
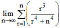
equals to
Options
A.
ln 2
B.
1/2 ln 2
C.
1/3 ln 2
D.
1/4 ln 2
Solution
I =
Create a free account to view solution
View Solution Free
Topic:
Definite Integration
·
Practice all Definite Integration questions
More Definite Integration Questions
The value of the function f (x) = 1 + x + (ln2t + 2 lnt) dt, where f′(x) vanishes is:...
If dx = , then the value of k is :...
equals-...
x dx equals-...
Which of the following are true ?...