Definite IntegrationHard
Question
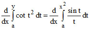
If
dt , then the value of
is
Options
A.
B.
C.
D.none of these
Solution
differentiating both sides w.r.t x we get
RHS =
L.H.S. =
Create a free account to view solution
View Solution FreeCreate a free account to view solution
View Solution Free