Home
>
Math
>
Definite Integration
Definite Integration
Hard
Question
Let f : R → R, g : R → R be continuous functions. Then the value of integeral
dx is :
Options
A.
depend on λ
B.
a non-zero constant
C.
zero
D.
none of these
Solution
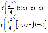
I =
dx = 0
Since
is an odd function
Create a free account to view solution
View Solution Free
Topic:
Definite Integration
·
Practice all Definite Integration questions
More Definite Integration Questions
dx is equal to-...
The value of , where x ∈ (π/6, π/3), is equal to :...
The value of dx is...
f(x) = Minimum {tanx, cot x} ∀ x ∈ . Then dx is equal to :...
The value of the function f (x) = 1 + x + (ln2t + 2 lnt) dt, where f′(x) vanishes is:...