Home
>
Math
>
Definite Integration
Definite Integration
Hard
Question
dx is equal to
Options
A.
√3
B.
-√3
C.
1√3
D.
-1√3
Solution
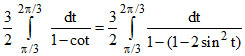
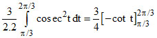
=
=
= -
Create a free account to view solution
View Solution Free
Topic:
Definite Integration
·
Practice all Definite Integration questions
More Definite Integration Questions
If = 0, where C0, C1, C2 are all real, the equation C2x2 + C1x + C0 = 0 has:...
Which of the following are true ?...
equals-...
Let (the set of all real numbers) be a positive, non-constant and differentiable function such that f′(x) Then the...
dx is equal to-...