Home
>
Math
>
Definite Integration
Definite Integration
Hard
Question
If f(0) = 1, f(2) = 3, f′(2) = 5 and f′(0) is finite, then
(2x) dx is equal to
Options
A.
zero
B.
1
C.
2
D.
none of these
Solution
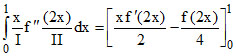
I =
=
= 2
Create a free account to view solution
View Solution Free
Topic:
Definite Integration
·
Practice all Definite Integration questions
More Definite Integration Questions
Let I1 =xlog sin x dx, I2 =sin x dx, then...
, a < b is equal to...
The value of (x2 + ex ) dx is-...
dx is equal to :...
The value of the definite integral ((x + 1)ex ln x) dx is -...