Application of DerivativeHard
Question
Least value of the function, f(x) = 2x2 - 1 +
is ;
Options
A.0
B.3/2
C.2/3
D.1
Solution
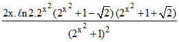
f′(x) = 
2x2 ≥ 1
2x2 + 1 - √2 ≥ 2 - √2 > 0
At x = 0, f(x) is least.
Least value = f(0) = 1
2x2 ≥ 1
2x2 + 1 - √2 ≥ 2 - √2 > 0
At x = 0, f(x) is least.
Least value = f(0) = 1
Create a free account to view solution
View Solution FreeMore Application of Derivative Questions
The slope of the curve y = sin x + cos2x is zero at the point, where -...The surface area of a cube is increasing at the rate of 2 cm2/sec. When its edge is 90 cm, the volume is increasing at t...The abscissa of the point on the curve √xy = a + x, the tangent at which cuts off equal intercepts from the co-ord...The rate of change of the volume of a cone with respect to the radius of its base is-...The equation of the tangents to the curve y = (x3 − 1) (x − 2) at the points where it meets x– axis are-...