Binomial TheoremHard
Question
If the mean and the variance of a binomial variate X are 2 and 1 respectively, then the probability that X takes a value greater than or equal to one is :
Options
A.9/16
B.3/4
C.1/16
D.15/16
Solution
mean = np = 2 ......... (1)
variance npq = 1 ......... (2)
by (2) and (1)
q =
p =
⇒ n = 4
P(x ≥ 1) = 4C1p1q3 + 4C2p2q2 + 4C3p3q + 4C4p4
= 1 - 4C0p0q4
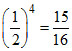
= 1 -
variance npq = 1 ......... (2)
by (2) and (1)
q =
p =
⇒ n = 4
P(x ≥ 1) = 4C1p1q3 + 4C2p2q2 + 4C3p3q + 4C4p4
= 1 - 4C0p0q4
= 1 -
Create a free account to view solution
View Solution FreeMore Binomial Theorem Questions
If (5 + 2√5)n = I + ƒ, where I ∈ N, n ∈ N and 0 ≤ ƒ ≤ 1, then I equals -...In the expansion of (1 + x)n (1 + y)n (1 + z)n, the sum of the co-efficients of the terms of degree ′r′ is -...The sum of the binomial coefficients of is equal to 256. The constant term in the expansion is -...If (1 + x + x2 + x3)5 = a0 + a1x + a2x2 +....................... + a15x15, then a10 equals to :If (1 + x + x2 + x3)5 = a...The value r for which (r30)(r15) +(r - 130) (115) +.....+(030)(r15) is maximum is/are -...