Complex NumbersHard
Question
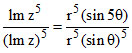
If z is a non-real complex number, then the minimum value of
is :
Options
A.- 1
B.- 4
C.- 2
D.- 5
Solution
Let z = reiθ



= 5 cosec4θ - 20cosec2θ + 16
minimum value of
is - 4
= 5 cosec4θ - 20cosec2θ + 16
minimum value of
Create a free account to view solution
View Solution FreeMore Complex Numbers Questions
If 1 + 2i, − 2 + 3i, − 3 − 4i are vertices of a triangle, then its area is-...If z = x + i y then the equation of a straight line Ax + By + C = 0 where A, B, C ∈ R, can be written on the compl...If complex numbers 1, −1 and i are represented by points A, B and C respectively on a compex plane, then they are ...Mirror image of the curve = a, a ∈ R+ a ≠ 1 about the line |z - z1| = |z - z2| is given by...The points z1 = 3 + √3 i and z2 = 2 √3 + 6 i are given on a complex plane. The complex number lying on the b...