Basic Maths and Units and DimensionsHard
Question
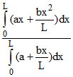
A uniform thin rod AB of length L has linear mass density μ(x) = a +
, where x is measured from A. If the CM of the rod lies at a distance of
from A, then a and b are related as :
Options
A.a = 2b
B.2a = b
C.a = b
D.3a = 2b
Topic: Basic Maths and Units and Dimensions·Practice all Basic Maths and Units and Dimensions questions
More Basic Maths and Units and Dimensions Questions
Two blocks A and B of masses 3 m and m respectively are connected by a massless and 1nextensible string. The whole syste...Two blocks A and B of masses 2m and m, respectively, are connected by a massless and inextensible string. The whole syst...A body moves each one third distance of path traveled with velocity v, 2v and 3v respectively, Its average velocity is :...A string of length 1m is fixed at one end and carries a mass of 100 g at the other end. The string makes (2/π) revo...A wire, of length L (= 20 cm), is bent into a semicircular arc. If the two equal halves, of the arc, were each to be uni...