EllipseHard
Question
An ellipse passes through the foci of the hyperbola, 9x2 − 4y2 = 36 and its major and minor axes lie along thetransverse and conjugate axes of the hyperbola respectively. if the product of eccentricities of the two conicsis 1/2, then which of the following points does not lie on the ellipse ?
Options
A.
B.(
, 0)
C.
D.
Solution
focii are (
eccentricity of hyperbola is eH =
Let equation ellipse is
⇒
Ellipse passes through (±
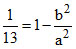
Equation of ellipse ≡
which is passes through (
Create a free account to view solution
View Solution FreeMore Ellipse Questions
The eccentricity of an ellipse is 2/3, latus rectum is 5 and centre is (0, 0). The equation of the ellipse is -...If =√2 touches the ellipse = 1, then its eccentric angle θ is equal to-...The number of real tangents that can be drawn to the ellipse 3x2 + 5y2 = 32 and 25x2 + 9y2 = 450 passing through (3 , 5)...A point, ratio of whose distance from a fixed point and line x = 9/2 is always 2 : 3. Then locus of the point will be -...The eccentricity of the ellipse 9x2 + 5y2 − 30 y = 0 is-...