MatricesHard
Question
If Ai =
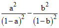
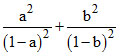
and if |a|<1, |b|<1, then
(Ai) is equal to-
Options
A.
B.
C.
D.
More Matrices Questions
If A + B = and A − B = then the value of A is -...Let matrix A = , where x, y, z ∈ N. If det.(Adj(AdjA)) = 28.34, then total number of such matrices A, is -...If A = , then -...If A = and B = , then correct statement is -...If A and B are matrices of order m × n and n × m respectively, then the order of matrix BT (AT)T is -...