Mole ConceptHard
Question
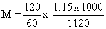
The density of a solution prepared by dissolving 120 g of urea (mol. mass = 60 u) in 1000 g of water is 1.15 g/mL. The molarity of this solution is :-
Options
A.2.05 M
B.0.50 M
C.1.78 M
D.1.02 M
More Mole Concept Questions
In which molecule all X - O bond length present in molecule are equal (X = central atom) :-...Which of the following exihibit the weakest intermolecular forces :-...Which of the following statements is/are correct ?...For preparing 0.1 N solution of a compound from its impure sample sample of which the percentage purity is known, the we...The solubility of Mg(OH)2 is S moles/litre. The solubility product under the same condition is...


