Differential EquationHard
Question
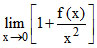
Let f (x) be a polynomial of degree four having extreme values at x = 1 and x = 2. If
= 3, then f (2) is equal to :
Options
A.0
B.4
C.- 8
D.- 4
Solution
Clearly f(x) = ax4 + bx3 + cx2 + dx + e
Now,
∴ Clearly d = e = 0
Now,
(1 + ax2 + bx + c) = 3
∴ c = 2
hence,
f(x) = ax4 + bx3 + 2x2
∴ f′(x) = 4ax3 + 3bx2 + 4x
= x(4ax2 + 3bx + 4)
Now, x = 1 and x = 2 are also solutions
∴ 3 =
and 2 =
⇒ a =
and b = - 2
∴ f(x) =
- 2x3 + 2x2
f(2) = 8 - 16 + 8 = 0
Now,
∴ Clearly d = e = 0
Now,
∴ c = 2
hence,
f(x) = ax4 + bx3 + 2x2
∴ f′(x) = 4ax3 + 3bx2 + 4x
= x(4ax2 + 3bx + 4)
Now, x = 1 and x = 2 are also solutions
∴ 3 =
∴ f(x) =
f(2) = 8 - 16 + 8 = 0
Create a free account to view solution
View Solution FreeMore Differential Equation Questions
A curve C passes through origin and has the property that at each point (x, y) on it the normal line at that point passe...The degree of the differential equation is -...If f(x), g(x), h(x) are polynomials of three degree, then φ(x) = is a polynomial of degree (where fn(x) represents ...The solution of the given differential equation + 2xy = y is-...The curve in which the slope of the tangent at any point equals the ratio of the abscissa to the ordinate of the point i...