VectorHard
Question
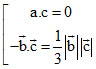
Let
,
and
be three non-zero vectors such that no two of them are collinear and (
×
) ×
= 1/3|
||
|
. If θ is the anglebetween vectors
and
, then a value of sinθ is :
Options
A.2/3
B.
C.
D.
More Vector Questions
If four points A (1, 2, − 1), B (0, 1, m), C (−1,2,1), D (2, 1, 3) are coplanar, then the value of m is-...Vectors + and − are perpendicular, when-...Unit vector in the direction of is represented by -...If = 4î − 6ĵ and = 3î + 4 then component vector of along is-...Let the unit vectors and be perpendicular to each other and the unit vector be inclined at an angle θ to both and ....