JEE Advanced | 2013Wave OpticsHard
Question
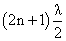
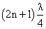
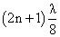
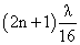
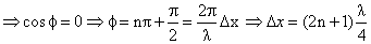
In the Young′s double slit experiment using a monochromatic light of wavelength λ, the path difference (in terms of an integer n) corresponding to any point having half the peak intensity is :-
Options
A.

B.

C.

D.

More Wave Optics Questions
A telescope has an objective lens of focal length 200 cm and an eye piece with focal length 2cm. If this telescope is us...A man is watching two trains, one leaving and the other coming in with equal speeds of 4 m/s. If they sound their whistl...Two coherent sources of equal intensities produce a maximum of 100 units. If the amplitude of one of the sources is redu...Two coherent source have the same : -...The radius of the first circle for a zone plate is 0.1 mm, then for the light of 5000 wavelength the main focal length w...

