JEE Advanced | 2013Geometrical OpticsHard
Question
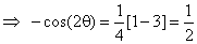
A ray of light travelling in the direction
is incident on a plane mirror. After reflection,it travels along the direction
. The angle of incidence is :-
is incident on a plane mirror. After reflection,it travels along the direction
. The angle of incidence is :-Options
A.30o
B.45o
C.60o
D.75o
More Geometrical Optics Questions
If the equation of mirror is given by y = 2/ sinx(y > 0 , 0 If the equation of mirror is given by y = 2/π sin π...A beam of unpolarised light of intensity Io is passed through a polaroid A and then through another polaroid B which is ...Two beams of light having intensities I and 4I interfere to produce a fringe pattern on a screen. The phase difference b...A spherical surface of radius of curvature R, separate air (refrective index 1.0) from the glass (refrective index 1.5)....A point object O is placed at a distance of 20 cm from a convex lens of focal length 10 cm as shown in figure. At what d...


