Differential EquationHard
Question
A circular loop of radius 0.3 cm lies parallel to a much bigger circular loop of radius 20 cm. The centre of the small loop is on the axis of the bigger loop. The distance between their centres is 15 cm. If a current of 2.0 A flows through the smaller loop, then the flux linked with bigger loop is :-
Options
A.9.1 × 10-11 weber
B.6 × 10-11 weber
C.3.3 × 10-11 weber
D.6.6 × 10-9 weber
Solution

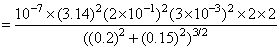
Mutual inductance

so flux through trigger coil


= 9.1 × 10-11 wb.
Create a free account to view solution
View Solution FreeMore Differential Equation Questions
The degree and order of the differential equation of the family of all parabolas whose axis is x-axis, are respectively...The degree and order of the differential equation of the family of all parabolas whose axis is x-axis are respectively...Find the differential equation for the family of curves $x^2 + y^2 - 2ay = 0$, where $a$ is an arbitrary constant....The differential equation representing the family of curves y2 = 2c (x + √c), where c > 0, is a parameter, is of o...Which one of the following is homogeneous function?...