Differential EquationHard
Question
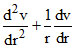
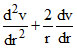
The differential equation of the family of curves v =
+ B, where A and B are arbitrary constants, is-
Options
A.
B.
C.
D.None of these
More Differential Equation Questions
The differential equation of all parabola having their axis of symmetry coinciding with the x-axis is...The differential equation of family of curve y = Aex + Be−x , where A and B are arbitrarily constants, is...A long insulated copper wire is closely wound as a spiral of ′N′ turns. The spiral has inner radius ′a...The solution of the equation = is-...If ƒ(x), g(x) be twice differentiable functions on [0, 2] satisfying ƒ′′(x) = g′′(x), ...