Home
>
Math
>
Definite Integration
Definite Integration
Hard
Question
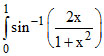
dx is equal to
Options
A.
+ log 2
B.
− log 2
C.
+ log 2
D.
− log 2
Solution
-
Create a free account to view solution
View Solution Free
Topic:
Definite Integration
·
Practice all Definite Integration questions
More Definite Integration Questions
The area bounded by the curve y = f(x), x-axis and the ordinates x = 1 and x = b is (b - 1) sin (3b + 4), ∀ b W...
dx equals-...
Which of the following are true ?...
dx equals-...
x cos x dx equals-...