Home
>
Math
>
Indefinite Integration
Indefinite Integration
Hard
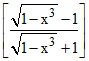
Question
If
= a log
+ b, then-
Options
A.
a =
B.
a =
C.
a = −
D.
a = −
Solution
-
Create a free account to view solution
View Solution Free
Topic:
Indefinite Integration
·
Practice all Indefinite Integration questions
More Indefinite Integration Questions
is equal to -...
(x + 3) (x2 + 6x + 10)9 dx equals-...
The value of ∫etan-1 x dx is equal to...
dx is equal to -...
[(log2x) / x] dx equals-...