Application of DerivativeHard
Question
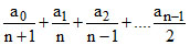
If
an = 0, then the equation a0xn + a1xn−1 + ...+ an−1x + an = 0 has, in the interval (0, 1),
Options
A.Exactly one root
B.Atleast one root
C.Atmost one root
D.No root.
More Application of Derivative Questions
The angle of intersection between curves y = x3 and 6y = 7 - x2 at point (1, 1) is-...If f(x) = xex(1-x), then f(x) is...The dimensions of the rectangle of maximum area that can be inscribed in the ellipse (x/4)2 + (y/3)2 = 1 are...The radius of a circle is increasing at the rate of 0.7 cm/sec. The rate of increase of its circumference is -...The coordinates of the points on the curve x = a (θ + sinθ), y = a (1 - cosθ), where tan gent is inclined...