Set, Relation and FunctionHard
Question
Let f(x) be a differentiable function on interval (0, ∞) such that f(1) =
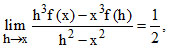
and
then f(2) has value equal to
Options
A.1
B.
C.
D.4/8
Solution
Using L-Hospital
⇒
⇒ x2f′(x) - 3xf(x) = - 1 ⇒
∴ y ×
f(1) =
∴ y =
Create a free account to view solution
View Solution FreeMore Set, Relation and Function Questions
In a class of 100 students, 55 students have passed in Mathematics and 67 students have passed in physics, no student fa...Let S = {1, 2, 3, 4}. The total number of unordered pairs of disjoint subsets of S is equal to...Consider two sets A = {1,2,3} & B = {1,2,3,4,5}. A number is selected each from set A & set B. Let p denotes the probabi...Let $A = \{ - 2, - 1,0,1,2,3,4\}$. Let R be a relation on A defined by xRy if and only if $2x + y \leq 2$. Let $l$ be th...If A and B are disjoint, then n(A ∪ B) is equal to-...