[DUP-84] Continuity and DifferentiabilityHard

Question

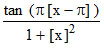
If f(x) = , were [x] denotes the greatest integer not greater than x, then-

Options

A.f(x) exists for all x   
B.f′(x) exists for all x
C.f(x) is continuous for all x   
D.f(x) is discontinuous at some point

Solution

-

Create a free account to view solution

View Solution Free
Topic: [DUP-84] Continuity and Differentiability·Practice all [DUP-84] Continuity and Differentiability questions

More [DUP-84] Continuity and Differentiability Questions