Math miscellaneousHard
Question
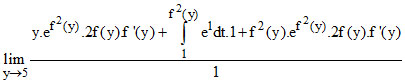
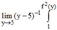
If f(y) is differentiable at y = 5 and f(5) = 1, f′(5) =
, then the value of
(y + t)etdt is -
Options
A.0
B.1
C.5/6
D.None
Solution
Using D.L Rule
= 10. e × 1.
Create a free account to view solution
View Solution FreeMore Math miscellaneous Questions
A person is to count 4500 currency notes. Let an denote the number of notes he counts in the nth minute. If a1 = a2 = .....f(x) = then at x = , f(x) is...If an = having n radical signs then by methods of mathematical induciton which is true...Let f be differentiable for all x. If f(1) = - 2 and f′(x) ≥ 2 for x ∈ [1, 6], then...If one root of the equation ax2 + bx + c = 0 is square of the other, then the value of b3 + ac2 + a2c is :...