[DUP-84] Continuity and DifferentiabilityHard
Question
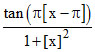
For the function f(x) =
the wrong statement is-
Options
A.f(x) is discontinuous at x = 0
B.f(x) is continuous for all values of x
C.f(x) is continuous at x = 0
D.f(x) is a constant function
Topic: [DUP-84] Continuity and Differentiability·Practice all [DUP-84] Continuity and Differentiability questions
More [DUP-84] Continuity and Differentiability Questions
The function ƒ(x) = is equal to -...The function f(x) = is discontinuous at -...Let ƒ(x + y) = ƒ(x) ƒ(y) for all x, y, ∈ R, Suppose that ƒ(3) = 3 and ƒ′ (0) = 11 t...If f(x) = , (x ≠ π) is continuous at x = π, then f (π) equals-...The number of points in the interval (0,2) where the derivative of the function f(x) = |x − 1/2| + |x − 1| +...