Home
>
Math
>
[DUP-84] Continuity and Differentiability
[DUP-84] Continuity and Differentiability
Hard
Question
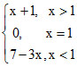
If f(x) =
, then f′(0) equals-
Options
A.
1
B.
2
C.
0
D.
−3
Solution
-
Create a free account to view solution
View Solution Free
Topic:
[DUP-84] Continuity and Differentiability
·
Practice all [DUP-84] Continuity and Differentiability questions
More [DUP-84] Continuity and Differentiability Questions
The function f(x) = x − | x | is not differentiable at...
If f (x) = is differentiable at x = 0, then-...
If f(x) = , then f′ (1) equals -...
f(x) = is continuous at x = 4, if-...
If f(x) = , then at x = 0, f′ (x) equals-...