[DUP-84] Continuity and DifferentiabilityHard
Question
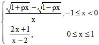
If f(x) =
is continuous in the interval [−1,1] then p equals-
Options
A.− 1
B.1
C.1 / 2
D.−1 / 2
Topic: [DUP-84] Continuity and Differentiability·Practice all [DUP-84] Continuity and Differentiability questions
More [DUP-84] Continuity and Differentiability Questions
Let f(x) = | x | and g(x) = |x3|, then -...Let [x] denotes the greatest integer less than or equal to x and ƒ(x) = [tan2 x]. Then-...If f(x) = is continuous in the interval [0, ∞), then values of a and b are respectively-...Let f(x) = . The value which should be assigned to f at x = 0 so that it is continuous everywhere is-...If f(x) = , then f′ (1) equals -...