[DUP-84] Continuity and DifferentiabilityHard

Question

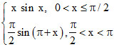
If f(x) = , then -

Options

A.f(x) is discontinuous at x = π / 2   
B.f(x) is continuous at x = π / 2   
C.f(x) is continuous at x = 0
D.None of these

Solution

-

Create a free account to view solution

View Solution Free
Topic: [DUP-84] Continuity and Differentiability·Practice all [DUP-84] Continuity and Differentiability questions

More [DUP-84] Continuity and Differentiability Questions