[DUP-84] Continuity and DifferentiabilityHard
Question
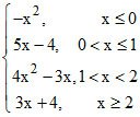
If f(x) =
, then f(x) is-
Options
A.Continuous at x = 0 but not at x = 1
B.Continuous at x = 2 but not at x = 0
C.Continuous at x = 0,1, 2
D.Discontinuous at x = 0,1, 2
Topic: [DUP-84] Continuity and Differentiability·Practice all [DUP-84] Continuity and Differentiability questions
More [DUP-84] Continuity and Differentiability Questions
If f(x) = , (x ≠ π) is continuous at x = π, then f (π) equals-...Function f(x) = 1 + | sin x| is-...If f(x) = is continuous in the interval [0, ∞), then values of a and b are respectively-...If f(x) is continuous and g(x) is discontinuous function, then f(x) + g(x) is-...Let ƒ(x + y) = ƒ(x) ƒ(y) for all x, y, ∈ R, Suppose that ƒ(3) = 3 and ƒ′ (0) = 11 t...