[DUP-84] Continuity and DifferentiabilityHard
Question
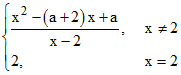
If f(x) =
is continuous at x = 2, then a is equal to-
Options
A.0
B.1
C.− 1
D.2
Topic: [DUP-84] Continuity and Differentiability·Practice all [DUP-84] Continuity and Differentiability questions
More [DUP-84] Continuity and Differentiability Questions
Function f(x) = is-...If f(x) = is continuous at x = 0, then the value of a is -...Which of the following function has finite number of points of discontinuity-...If the function f(x) = is continuous at x = 0, then the value of k is-...If f(x) = , x ≠ 0 ; then the value of f(0) so that f is continuous at x = 0 is-...