FunctionHard
Question
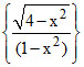
Function f(x) = sin log
has domain
Options
A.[−2, 1)
B.[−2, 1]
C.(−1, 1)
D.(−∞, 1)
More Function Questions
If f(x) = x2 − 3x + 1 and g(x) = , then domain of (f − g) is -...The period of the function f(x) = log cos 2x + tan 4x is -...If f (x) = log and g(x) =, then f[g(x)] is equal to-...The function f : R → R defined by f (x) = (x − 1) (x − 2) (x − 3) is -...If f : R → R, f(x) = ex and g : R → R, g(x) = 3x − 2 , then the value of (fog)-1(x) is equal to -...