FunctionHard
Question
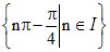
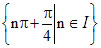
If f : R → R, f(x) = tan x, then pre-image of −1 under f is -
Options
A.
B.
C.{n π | n ∈ I }
D.None of these
More Function Questions
The greatest value of the function f (x) = (sin-1 x)3 + (cos-1 x)3 is:...If x2 + 6x − 27 > 0 and x2 − 3x − 4 < 0, then-...If x is the radius of a circle and f(x) = πx2, then domain of f is -...The value of b and c for which the identity f ( x + 1) - f (x) = 8x + 3 is satisfied, where f(x) = bx2 + cx + d, are -...Let f : R → R be a differentiable function having f(2) = 6, f′(2). Then dt equals...