EllipseHard
Question
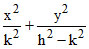
If the focal distance of an end of the minor axis of an ellipse (referred to its axes as the axes of x and y respectively) is k and the distance between its foci is 2h, then its equation is-
Options
A.
= 1
B.
= 1
C.
= 1
D.
= 1
More Ellipse Questions
The locus of the foot of perpendicular drawn from the centre of the ellipse x2 + 3y2 = 6 on any tangent to it is...If the latus rectum of the ellipse x2 tan2 α + y2 sec2α = 1 is 1/2 then α =...The parametric representation of a point on the ellipse whose foci are (− 1, 0) and (7, 0) and eccentricity 1 / 2 ...If the eccentricity of the hyperbola x2 - y2 sec2θ = 4 is √3 times the eccentricity of the ellipse x2sec2_...The eccentricity of ellipse which meets straight line 2x − 3y = 6 on the X axis and 4x + 5y = 20 on the Y axis and...