Work, Power and EnergyHard
Question
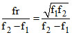
In an LCR series circuit the value of half power frequencies are 25 Hz and 100 Hz respectively. Then Quality factor of the circuit will be :-
Options
A.1/2
B.2/3
C.3/4
D.5/3
More Work, Power and Energy Questions
The stiffness constants of two springs A and B are KA and KB respectively (KA > KB). If same force is applied to both...A particle is moving in a circular path of radius a under the action of an attractive potential U = - k2r2. Its total en...A uniform chain of length 2 m is kept on a table such that a length of 60 cm hangs freely from the edge of the table. Th...A particle is moving in a circle of radius r under the action of a force F = αr2 which is directed towards centre o...The power of a pump which can pump 200 kg of water to a height of 200 m in 10s is (g = 10 m/s2):-...