CircleHard
Question
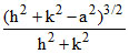
The area of the triangle formed by the tangents from the points (h, k) to the circle x2 + y2 = a2 and the line joining their points of contact is -
Options
A.a 
B.a 
C.
D. 
More Circle Questions
The circle x2 + y2 - 2 x - 3 k y - 2 = 0 passes through two fixed points, (k is the parameter)...Let A and B be two distinct points on the parabola y2 = 4x. If the axis of the parabola touches a circle of radius r hav...From a point on the line x - y + 2 = 0 tangents are drawn to the hyperbola = 1 such that the chord of contact passes thr...If PQ is a chord of parabola x2 = 4 y which subtends right angle at vertex. Then locus of centroid of triangle PSQ (S is...If the tangent at the P on the circle x2 + y2 + 2x + 2y = 7 meets the straight line 3x - 4y = 15 at a point Q on the x+a...