Straight LineHard
Question
The line L has intercepts a and b on the coordinate axes. When keeping the origin fixed, the coordinate axes are rotated through a fixed angle, then the same line has intercepts p and q on the rotated axes. Then
Options
A.a2 + b2 = p2 + q2
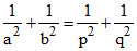
B.
C.a2 + p2 = b2 + q2
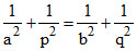
D.
More Straight Line Questions
The equation 2x2 + 4xy − py2 + 4x + qy +10 = 0 will represent two mutually perpendicular straight lines, if -...If x1, x2, x3 and y1, y2, y3 are both in G.P. with the same common ratio, then the points (x1, y1) (x2, y2) and (x3, y3)...If a line passes through the point P(1,2) makes an angle of 45o with the x-axis and meets the line x + 2y − 7 = 0 ...If origin and (3, 2) are contained in the same angle of the lines 2x + y - a = 0, x - 3y + a = 0, then ′a′ m...If the points (1, 3) and (5, 1) are two opposite vertices of a rectangle and the other two vertices lie on the line y = ...