Straight LineHard
Question
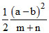
If sides of a triangle are y = mx + a, y = nx + b and x = 0, then its area is -
Options
A.
B.
C.
D.None of these
More Straight Line Questions
Equation of the plane containing the straight line and perpendicular to the plane containing the straight lines and is...The equation 2x2 + 4xy - py2 + 4x + qy + 1 = 0 will represent two mutually perpendicular straight lines, if...(1, 2) is vertex of a square whose one diagonal is along the x − axis. The equations of sides passing through the ...A straight line cuts intercepts from the coordinate axes sum of whose reciprocals is1/p.It passes through a fixed point ...If one diagonal of a rhombus is x − 2y = 1, then other diagonal will be -...