GravitationHard
Question
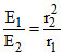
The magnitudes of gravitational field at distance r1 and r2 from the centre of a uniform sphere of radius R and mass M are E1 and E2 respectively. Then :-
Options
A.
if r1 < R and r2 < R
B.
if r1 > R and r2 > R
C.both (1) and (2)
D.None of these
More Gravitation Questions
A planet in a distant solar system is 10 times more massive than the earth and its radius is 10 times smaller. Given tha...A geostationary satellite is orbiting the earth at a height of 5R above the surface of the earth, R beingthe radius of t...A satellite is revolving round the earth with orbital speed v0. If it stops suddenly, the speed with which it will strik...A planet is revolving around the Sun in an elliptical orbit. Its closest distance from the Sun is rmin. The farthest dis...In a certain region of space, the gravitational field is given by - , where r is the distance and k is a constant. If th...