Home
>
Math
>
Inverse Trigonometric Function
Inverse Trigonometric Function
Hard
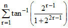
Question
is equal to -
Options
A.
tan
-1
(2
n
)
B.
tan
-1
(2
n
) −
C.
tan
-1
(2
n+1
)
D.
tan
-1
(2
n+1
) −
Solution
-
Create a free account to view solution
View Solution Free
Topic:
Inverse Trigonometric Function
·
Practice all Inverse Trigonometric Function questions
More Inverse Trigonometric Function Questions
If a, b, c be positive real numbers and the value of θ = tan-1 ++ tan-1 + tan-1 then tanθ is equal to -...
The value of sin-1 (sin 10) is -...
The value of sec is equal to -...
The solution of the inequality(tan-1x)2 - 3 tan-1 x + 2 ≥ 0 is -...
The principal value of cot-1 (-1) is-...