Home
>
Math
>
Binomial Theorem
Binomial Theorem
Hard
Question
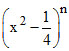
If in the expansion of
,the coefficient of third term is 31, then the value of n is-
Options
A.
30
B.
31
C.
29
D.
32
Solution
-
Create a free account to view solution
View Solution Free
Topic:
Binomial Theorem
·
Practice all Binomial Theorem questions
More Binomial Theorem Questions
The middle term in the expansion of is -...
Fourth term in the expansion of is-...
The sum of the binomial coefficients of is equal to 256. The constant term in the expansion is -...
In the expansion of...
The term independent of x in the expansion of will be -...