VectorHard
Question
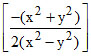
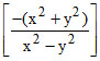
At what angle must the two forces (x + y) and (x − y) act so that the resultant may be
?
Options
A.cos-1
B.cos-1
C.cos-1
D.cos-1
More Vector Questions
The speed of light (c), gravitational constant (G) and plank′s contant (h) are taken as fundamental units in a sys...The length of a cylinder is measured with a metre rod having least count 0.1 cm. Its diameter is measured with vernier c...In the formula X = 3Y Z2, X and Z have dimensions of capacitance and magnetic indcution respectively. What are the dimes...The resultant of two vectors and is . If is doubled then the new resultant vector is perpendicular to ′′. Th...The resultant of and is perpendicular to . What is the angle between and ?...