Wave motionHard
Question
When radiation of wavelength λ is incident on a metallic surface, the stopping potential is 4.8 volts. If the same surface is illuminated with radiation of double the wavelength, then the stopping potential becomes 1.6 volts. Then the threshold wavelength for the surface is :-
Options
A.2λ
B.4λ
C.6λ
D.8λ
Solution
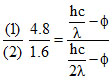
evs =
- φ
⇒ 4.8 =
- φ ....(1)
⇒ 1.6 =
- φ ....(2)
eq.
⇒ φ =
⇒ λ0 = 4λ
⇒ 4.8 =
⇒ 1.6 =
eq.
⇒ φ =
Create a free account to view solution
View Solution FreeMore Wave motion Questions
A tuning fork makes 256 vibration per second in air. When velocity of sound is 330 m/sec. Then the wavelengths of the to...A transverse sinusoidal wave moves along a string in the positive x-direction at a speed of 10 cm/s. The wavelength of t...An open organ pipe of length 33 cm, vibrates with frequency 1000 Hz. If velocity of sound is 330 m/s, then its frequency...The power of sound from the speaker of a radio is 20 milli.watt by turning the knob of the volume control the power of t...A stretched string is vibrating according to the equation , where y and a are in cm and t is sec. The distance between t...